L'Estimació de la població centenària té com a finalitat quantificar la població de 100 anys i més, així com la seva composició per sexe i edat, mitjançant mètodes demogràfics.
L'Idescat ha estimat la població centenària de Catalunya aplicant el mètode de Kannisto-Thatcher (mètode KT), que és una variant del mètode de les ràtios de supervivència. El mètode KT produeix estimacions de la població en edats avançades emprant dades de les defuncions: utilitza dades de l'edat en el moment de la defunció per construir distribucions del nombre de gent gran en els anys previs. Per exemple, si algú mor als 105 anys el 2017, això vol dir que tenia 104 anys el 2016, 103 anys el 2015, etc. Agregant les dades d'edat a la defunció de diferents anys és possible calcular una estimació del nombre de persones centenàries d'una determinada edat que estan vives en un any.
La xifra de població centenària és molt sensible als errors de quantificació: atès que és un grup de població poc nombrós comparat amb les altres generacions de la piràmide, un petit error en l'estimació en xifres absolutes té un impacte més gran en termes relatius. Estimar correctament els efectius de població d'edat molt avançada és important perquè afecta altres estadístiques, com ara les taxes de mortalitat en edats avançades, l'esperança de vida i les projeccions de població.
1. Àmbit poblacional, territorial i temporal
La població objecte d'estudi de l'Estimació de la població centenària és la població resident a Catalunya. S'ofereixen resultats classificats per sexe i edat (100 anys, 101 anys, 102 anys, 103 anys, 104 anys i el grup obert 105 anys o més). També s'ofereix la xifra agregada de població de 100 anys o més (total).
La desagregació territorial correspon a Catalunya. No s'ofereixen dades a nivell inferior.
La data de referència de les poblacions és l'1 de gener i l'1 de juliol de cada any. S'ofereixen dades per al període 1981–2021. Tanmateix, a partir del Cens de població 2021 hi ha canvis en les fonts de població centenària. Les Estimacions de població passen a ser la font de referència de la població centenària dels anys 2012 i posteriors, i ofereixen la població de Catalunya per sexe i edat fins a 105 anys o més, i la població centenària de les províncies, els àmbits del pla territorial i les comarques i Aran. D'altra banda, l'Estimació de la població centenària es manté com la font de referència de la població centenària per al període 1981–2011.
2. Metodologia
L'Idescat produeix l'Estimació de la població centenària mitjançant el mètode KT per a població en edats avançades. La població centenària es calcula a partir de les dades de les defuncions dels anys recents i les ràtios de supervivència. La població centenària de cada edat es calcula a partir de la proporció del nombre de supervivents d'una generació encara vius respecte al nombre de persones d'aquesta generació que han mort en els últims anys. El mètode KT utilitza informació de l'edat en el moment de la defunció dels últims cinc anys per generar una estimació dels supervivents en el darrer any. La metodologia és diferent de la utilitzada per generar les Estimacions de població, on la xifra de població es deriva de la població del darrer cens, el moviment natural i el moviment migratori (mètode dels components).
El mètode KT produeix una estimació de la població centenària de l'any més recent, però també produeix retrospectivament una estimació revisada dels anys anteriors. Així doncs, l'estimació de la població centenària no és fixa en el temps, sinó que es va revisant i millorant cada any. Les estimacions d'anys anteriors es tornen més exactes a mesura que es disposa de més dades de defunció per informar dels perfils d'edat.
El mètode KT és una modificació i millora del mètode de les ràtios de supervivència de Vincent-Depoid. L'aplicació del mètode de Vincent-Depoid assumeix directament que la ràtio de supervivència d'una cohort és la mateixa que en la cohort anterior. Per evitar les fluctuacions en les ràtios i obtenir més bons resultats, en comptes de la ràtio de supervivència en una sola cohort, en el mètode KT es calcula la ràtio de supervivència mitjana del conjunt de les defuncions dels darreres cinc anys i s'hi agreguen cinc generacions. El mètode KT incorpora una restricció matemàtica que força que per al total de població de 90 anys i més de cada sexe, l'estimació del mètode KT sigui coincident amb l'estimació postcensal. El mètode KT treballa amb el supòsit raonable que el saldo migratori de la població centenària de Catalunya amb l'exterior (resta d'Espanya i estranger) és nul.
A continuació s'exposa la formulació matemàtica del mètode de Kannisto-Thatcher.
Llegenda
- P: població per sexe i edat simple, a 1 de gener
- D: defuncions, per sexe i cohort
- S: ràtios de supervivència
- T: any de calendari
- x: edat
- x = 120: edat màxima a la qual es considera que totes les persones de la generació han mort
- E: estimació postcensal a 1 de gener de l'any T de la població de 90 anys i més
És important fer notar que el mètode KT fa un tractament generacional de la informació i treballa amb dades referides a 1 de gener. Tant les poblacions com les defuncions estan referides a l'edat a 1 de gener.
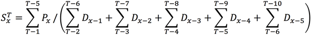
Per a l'any T, i per a cada edat x entre 90 i 120, les ràtios de supervivència es calculen com

Les poblacions de cada edat de l'any T es calculen com

El valor del paràmetre c es calcula a partir de la restricció

Finalment, es recalcula el valor de la població dels anys anteriors:

3. Difusió de resultats
Fins al Cens de població 2021, l'Idescat ofereix els resultats de l'Estimació de la població centenària un cop l'any. Durant el primer semestre de l'any T es difonen les dades relatives a 1 de gener de T-2 i 1 de juliol de T-3. Cada any que es publica l'Estimació de la població centenària per a un any nou, s'actualitzen les estimacions dels 14 anys anteriors.
Els resultats es difonen arrodonits a valors múltiples de 5. Per aquesta raó, algun total pot no coincidir amb la suma de la seva desagregació per edat.
A partir del Cens de població 2021 hi ha canvis en les fonts de població centenària. Les Estimacions de població passen a ser la font de referència de la població centenària dels anys 2012 i posteriors, i ofereixen la població de Catalunya per sexe i edat fins a 105 anys o més, i la població centenària de les províncies, els àmbits del pla territorial i les comarques i Aran. D'altra banda, l'Estimació de la població centenària es manté com la font de referència de la població centenària per al període 1981–2011.