La taula de vida permet expressar els fets relatius a la mortalitat en termes de probabilitat, de manera que proporciona els índexs vitals més complets i sintètics, de gran valor comparatiu, de què disposem per poder estimar la durada de la vida humana, així com els riscos de defunció a cada edat.
L'esperança de vida en néixer s'interpreta com el nombre d'anys que, de mitjana, pot esperar viure una generació de nounats en el supòsit que les condicions de mortalitat no variessin en el futur. Es tracta d'un indicador sintètic que incorpora en una sola xifra l'experiència de mortalitat del conjunt de la població de totes les edats. Aquesta característica de l'indicador ha fet que el seu ús s'hagi expandit de manera molt important en diversos àmbits, no tan sols en el demogràfic i el sanitari, sinó també en el sociològic i l'econòmic, com un indicador estructural i de desenvolupament. L'esperança de vida en néixer és un cas particular de l'esperança de vida a l'edat x, que representa el nombre mitjà d'anys que es pot esperar viure a partir de l'edat x en les condicions de la taula de vida de l'any o període especificat.
Hi ha dos tipus de taula de vida, la taula de vida de cohort o generació i la taula de vida de període. La taula de vida de cohort o generació presenta la mortalitat d'una cohort concreta des del naixement fins a l'extinció completa. La taula de vida de període es construeix a partir de les condicions de mortalitat observades durant un any (o període) específic i aplicades a una cohort fictícia; és a dir, es tracten les múltiples cohorts presents en un any de calendari com si fos una sola generació que va experimentant l'impacte de la mortalitat expressat en la sèrie de taxes específiques per edat observades. És el procediment emprat per al càlcul de les taules que es presenten en aquest apartat. Aquest tractament, que representa una anàlisi transversal, és més utilitzat perquè el fenomen de la mortalitat es manifesta al llarg d'un període de temps molt extens, la qual cosa en dificulta l'estudi des de l'enfocament longitudinal o per cohort.
La major diferencia visual entre les taules de vida correspon a la desagregació per edats que presenta la taula de vida completa i la taula de vida abreujada. En el cas de la taula de vida completa, l'edat x representa un interval d'un any, començant el dia en què un individu assoleix l'edat exacta x i acabant al final del dia previ al pròxim (x+1) aniversari. En la taula de vida abreujada la majoria d'intervals d'edat són de cinc anys, excepte en les dues primeres files i en la darrera fila: la primera fila (edat 0) representa un interval d'un any i la segona fila, un interval de quatre anys (edats 1 a 4 anys); la darrera fila, és un interval d'edat obert, el qual comprèn totes les defuncions que ocorren en edats més grans de 95 anys en les taules de Catalunya (o de 90 anys en el cas de les taules provincials).
En aquesta publicació es presenten les estimacions de la taula de vida per al conjunt de la població de Catalunya i per a les quatres províncies. Per a tots els territoris es presenten els resultats per sexe amb l'estimació per separat de la taula de vida de la població masculina, femenina i d'ambdós sexes. Pel que fa a l'àmbit temporal s'ofereix l'estimació de la taula de vida des del període 1981–1985.
Les taules de vida completes i abreujades s'han construït basant-se en la mitjana de cinc anys de poblacions i defuncions.
Les defuncions de residents a Catalunya s'extreuen dels fitxers anuals de microdades de l'INE. Aquests fitxers també s'han utilitzat per recuperar defuncions de nascuts vius i morts abans de 24 hores que no consten als fitxers de microdades de l'Idescat del 1990 al 1995. Addicionalment, s'han aplicat procediments de correcció de la data de naixement dels difunts, en el cas de valors mancants o erronis de la variable, amb una imputació interna (hot-deck), assignant de forma aleatòria la data de naixement d'una persona del mateix grup de causa de mort, sexe i estat civil. Com a denominador per al càlcul de les taxes de mortalitat s'ha utilitzat la mitjana quinquennal de les estimacions de població a 1 de juliol de cada any del període. Aquestes estimacions de població són les estimacions intercensals entre el 1981 i el 2011 i les estimacions postcensals a partir de l'any 2012 de l'Idescat.
Les taules de vida abreujades de la població de Catalunya i les quatre províncies s'han obtingut a partir d'un procediment d'agregació de resultats de la taula de vida completa, edat per edat.
1. Construcció de la taula de vida
En l'estructura de la taula de vida les columnes tabulen les funcions relacionades amb l'edat x, que és la primera columna de la taula.
- Població nPx: població d'edat [x,x+n).
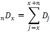
- Defuncions nDx: defuncions registrades en la població d'edat [x,x+n).
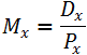
- Taxes específiques de mortalitat nMx: defuncions d'edat [x,x+n) en relació amb la població mitjana d'aquesta edat.
- Probabilitat de defunció nqx: probabilitat de morir d'una persona d'edat x abans de complir l'edat x+n.
- Nombre de supervivents lx: nombre de persones de la cohort fictícia inicial (100.000 a l'edat 0) que arriben vius a l'edat x.
- Nombre de defuncions ndx: nombre de persones de la cohort fictícia inicial supervivents a l'edat x, que moren entre les edats x i x+n.
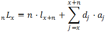
- Persones-anys viscuts o població estacionària nLx: nombre de persones-anys viscuts per la cohort fictícia entre les edats x i x+n.
- Nombre total de persones-anys viscuts Tx: nombre total de persones-anys que resten per viure als supervivents de la cohort inicial a partir de l'edat x.
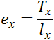
- Esperança de vida ex: (per a una edat donada x) nombre mitjà d'anys que queden per viure als supervivents de la cohort inicial d'aquesta edat.
Les dades necessàries per a la construcció de la taula de vida completa són la població d'edat x present a meitat de l'any Px, les defuncions d'edat x ocorregudes durant el mateix any Dx així com la distribució d'aquestes defuncions al llarg de l'any, és a dir, les fraccions dels anys viscuts per les persones difuntes d'edat complida x, expressades per ax, i que es calculen per a tots i cadascun dels difunts, a partir de la informació de la data de naixement i de la data de defunció (dia, mes i any). Amb les dues primeres dades es poden calcular les taxes específiques de mortalitat per a cada edat x:

La probabilitat de defunció mostra el risc de morir entre les edats x i x+1 i constitueix la base de la taula de vida. Amb les taxes específiques de mortalitat Mx i les fraccions dels anys viscuts ax per a les persones mortes d'edat complida x s'obtenen les probabilitats de defunció a l'edat x:

S'ha de tenir en compte que per a l'últim grup d'edat obert, ω, (95 anys i més per a la taula de vida completa) aquesta probabilitat ha de ser igual a la unitat (qω=1), la qual cosa suposa que:

A partir d'aquests càlculs es construeixen les altres funcions de la taula de vida:
Nombre de supervivents (lx):

amb

Nombre de defuncions (dx):

Persones-anys viscuts (Lx): Les persones que arriben vives a l'edat x+1 hauran viscut un any complet entre les edats x i x+1, mentre que les persones que moren en aquest interval d'edats hauran viscut la fracció d'any ax.

Nombre total de persones-anys viscuts (Tx):

Esperança de vida (ex): S'obté dividint el nombre total de persones-anys viscuts pel nombre de supervivents d'edat x:

En les taules de vida abreujades, el càlcul d'algunes d'aquestes funcions varia lleugerament:
Població a meitat d'any entre les edats x i x+n (nPx): Suma de la població a meitat d'any de cada edat.

Defuncions ocorregudes entre les edats [x,x+n), (nDx): Suma de les defuncions ocorregudes a cada edat.

Probabilitat de defunció entre les edats [x,x+n), (nqx):

Fraccions d'anys viscuts entre les edats [x,x+n), nax:

Persones-anys viscuts (Lx):

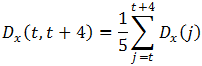
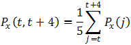
En les taules de vida de períodes quinquennals cal prendre com a valors de defuncions i de poblacions la mitjana del quinquenni, és a dir:


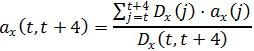
I per a les fraccions d'anys viscuts del quinquenni cal fer una mitjana ponderada de les defuncions de cada any amb les fraccions d'anys viscuts corresponents:

Un cop obtingudes aquestes mitjanes, la construcció de la taula quinquennal és idèntica a la de la taula anual substituint les defuncions, les poblacions i les fraccions d'anys viscuts anuals pels seus equivalents quinquennals.
2. Fonts estadístiques
Les fonts estadístiques utilitzades per al càlcul de la taula de vida són les estimacions de població a 1 de juliol de l'Idescat i les defuncions anuals produïdes pel Departament de Salut i l'Institut Nacional d' Estadística.
L'Idescat produeix dues estimacions de població a 1 de juliol: les estimacions de població postcensal i les estimacions de població intercensal. Les primeres s'obtenen a partir de la distribució de la població per sexe i edat que ofereix l'últim Cens de població (2011), afegint-hi acumulativament el moviment natural i migratori enregistrat anualment fins a l'any de referència de l'estimació. Les poblacions postcensals s'ajusten quan es disposa de les xifres oficials d'un nou cens per obtenir les estimacions de població intercensal. Així doncs, les estimacions intercensals, que tenen caràcter definitiu, substitueixen les estimacions postcensals, que tenen caràcter provisional.
El Departament de Salut codifica les causes de mort de les defuncions inscrites a Catalunya a partir d'un document que, des del 2009, unifica el certificat mèdic oficial de defunció i la butlleta estadística de defunció (CM/BED). L'Institut Nacional d'Estadística elabora el fitxer anual de microdades amb totes les defuncions inscrites en territori espanyol de residents a Catalunya.
3. Tabulació i difusió de resultats
Els resultats ofereixen la tabulació de l'estimació de la taula de vida abreujada per a Catalunya i les províncies i la taula de vida completa per a Catalunya, així com les sèries temporals d'esperança de vida en néixer i als 65 anys.
- Esperança de vida en néixer per sexe per a Catalunya i les quatre províncies
- Esperança de vida als 65 anys per sexe per a Catalunya i les quatre províncies
- Taula de vida abreujada per a Catalunya i les quatre províncies. Per sexe
- Taula de vida completa per a Catalunya. Per sexe